Skip to main content

Armstrong Calculus: 5. Physics Applications: Work, Force, and Pressure

Armstrong Calculus
5. Physics Applications: Work, Force, and Pressure
  • Show the following:

    Annotations
    Resources
  • Adjust appearance:

    Font
    Font style
    Color Scheme
    Light
    Dark
    Annotation contrast
    Low
    High
    Margins
  • Search within:
    • My Notes + Comments
    • Notifications
    • Privacy
  • Project HomeArmstrong Calculus
  • Projects
  • Learn more about Manifold

Notes

table of contents
    1. Preface
    2. Acknowledgments
  1. 1. Using Definite Integrals to Find Volume
    1. Motivating Questions
    2. Introduction
    3. Preview Activity 1
    4. The Volume of a Solid of Revolution
    5. Disk Method
    6. Washer Method
    7. Activity 1-1
    8. Activity 1-2
    9. Activity 1-3
    10. Volumes of Other Solids
    11. Volume By Cross-Sectional Area
    12. Summary
    13. Exercises
    14. Problems
  2. 2. Volume by The Shell Method
    1. Motivating Questions
    2. Introduction
    3. Preview Activity 2
    4. The Shell Method
    5. Activity 2-1
    6. Activity 2-2
    7. Summary
    8. Exercises
    9. Problems
  3. 3. Arc Length and Surface Area
    1. Motivating Questions
    2. Introduction
    3. Preview Activity 3
    4. Finding the length of a curve
    5. Arc Length
    6. Activity 3-1
    7. Surface Area of Solids of Revolution
    8. Surface Area of a Solid of Revolution
    9. Summary
    10. Exercises
    11. Problems
  4. 4. Density, Mass, and Center of Mass
    1. Motivating Questions
    2. Preview Activity 4
    3. Density
    4. Density, Mass, & Volume
    5. Mass
    6. Activity 4-1
    7. Activity 4-2
    8. Center of Mass
    9. Activity 4-3
    10. Summary
    11. Exercises
    12. Problems
  5. 5. Physics Applications: Work, Force, and Pressure
    1. Motivating Questions
    2. Introduction
    3. Preview Activity 5
    4. Work
    5. Activity 5-1
    6. Activity 5-2
    7. Activity 5-3
    8. Summary
    9. Exercises
    10. Problems
  6. 6. An Introduction to Differential Equations
    1. Motivating Questions
    2. Introduction
    3. Preview Activity 6
    4. Activity 6-1
    5. Activity 6-2
    6. Activity 6-3
    7. Slope Fields
    8. Activity 6-4
    9. Equilibrium solutions and stability
    10. Activity 6-5
    11. Summary
    12. Exercises
  7. 7. Separable differential equations
    1. Motivating Questions
    2. Introduction
    3. Preview Activity 7
    4. Activity 7-1
    5. Activity 7-2
    6. Activity 7-3
    7. Developing a differential equation
    8. Activity 7-4
    9. Activity 7-5
    10. Activity 7-6
    11. Population Growth
    12. Activity 7-7
    13. Activity 7-8
    14. Summary
    15. Exercises
  8. 8. Hyperbolic Functions
    1. Motivating Questions
    2. Introduction
    3. Hyperbolic Functions
    4. Activity 8-1
    5. Useful Hyperbolic Function Properties
    6. Activity 8-2
    7. Inverse Hyperbolic Functions
    8. Logarithmic definitions of Inverse
    9. Derivatives Involving Inverse Hyperbolic Functions
    10. Activity 8-3
    11. Exercises

5. Physics Applications: Work, Force, and Pressure

Motivating Questions

In this section, we strive to understand the ideas generated by the following important questions:

• How do we measure the work accomplished by a varying force that moves an object a certain distance?

• What is the total force exerted by water against a dam?

• How are both of the above concepts and their corresponding use of definite integrals similar to problems we have encountered in the past involving formulas such as "distance equals rate times time" and "mass equals density times volume"?

Introduction

In our work to date with the definite integral, we have seen several different circumstances where the integral enables us to measure the accumulation of a quantity that varies, provided the quantity is approximately constant over small intervals. For instance, based on the fact that the area of a rectangle is A = l • w, if we wish to find the area bounded by a nonnegative curve y = f (x) and the x-axis on an interval [a, b], a representative

slice of width

has area

and thus as we let

the width of the representative slice tend to zero, we find that the exact area of the region is

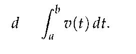
In a similar way, if we know that the velocity of a moving object is given by the function y = v( t), and we wish to know the distance the object travels on an interval [a, b] where v(t) is nonnegative, we can use a definite integral to generalize the fact that d = r • t when the rate, r, is constant. More specifically,

on a short time interval

is roughly constant, and hence

for a small slice of time,

and so as the width of

the time interval

tends to zero, the exact distance traveled is given by the definite integral

Finally, when we recently learned about the mass of an object of non-constant density, we saw that since M = D • V (mass equals density times volume, provided that density is constant), if we can consider a small slice of an object on which the density is approximately constant, a definite integral may be used to determine the exact mass of the object. For instance, if we have a thin rod whose cross sections have constant density, but whose density is distributed along the x axis according to the function y = p(x), it follows that for a small slice of the rod that is Ax

thick,

In the limit as

we then find

that the total mass is given by

Note that all three of these situations are similar in that we have a basic rule (A = l • w, d = r • t, M = D • V) where one of the two quantities being multiplied is no longer constant; in each, we consider a small interval for the other variable in the formula, calculate the approximate value of the desired quantity (area, distance, or mass) over the small interval, and then use a definite integral to sum the results as the length of the small intervals is allowed to approach zero. It should be apparent that this approach will work effectively for other situations where we have a quantity of interest that varies.

We next turn to the notion of work: from physics, a basic principal is that work is the product of force and distance. For example, if a person exerts a force of 20 pounds to lift a 20-pound weight 4 feet off the ground, the total work accomplished is

W = F • d = 20 • 4 = 80 foot-pounds.

If force and distance are measured in English units (pounds and feet), then the units on work are foot-pounds. If instead we work in metric units, where forces are measured in Newtons and distances in meters, the units on work are Newton-meters.

Of course, the formula W = F • d only applies when the force is constant while it is exerted over the distance d. In Preview Activity 5, we explore one way that we can use a definite integral to compute the total work accomplished when the force exerted varies.

Preview Activity 5

A bucket is being lifted from the bottom of a 50-foot deep well; its weight (including the water), B, in pounds at a height h feet above the water is given by the function B( h). When the bucket leaves the water, the bucket and water together weigh B( 0) = 20 pounds, and when the bucket reaches the top of the well, B( 50) = 12 pounds. Assume that the bucket loses water at a constant rate (as a function of height, h) throughout its journey from the bottom to the top of the well.

(a) Find a formula for B(h).

(b) Compute the value of the product

where

Include units on your answer. Explain why this product represents the approximate work it took to move the bucket of water from h = 5 to h = 7.

(c) Is the value in (b) an over- or under-estimate of the actual amount of work it took to move the bucket from h = 5 to h = 7? Why?

(d) Compute the value of the product

where

feet.

Include units on your answer. What is the meaning of the value you found?

(e) More generally, what does the quantity

measure

for a given value of h and a small positive value of

(f) Evaluate the definite integral

What is the meaning of

the value you find? Why?

Work

Because work is calculated by the rule W = F • d, whenever the force F is constant, it follows that we can use a definite integral to compute the work accomplished by a varying force. For example, suppose that in a setting similar to the problem posed in Preview Activity 5, we have a bucket being lifted in a 50-foot well whose weight at height h is given by B(h) = 12 + 8e—0.1h.

In contrast to the problem in the preview activity, this bucket is not leaking at a constant rate; but because the weight of the bucket and water is not constant, we have to use a definite integral to determine the total work that results from lifting the bucket. Observe that at a height h above the water, the approximate work to move the bucket a small distance

is

Hence, if we let

tend to 0 and take the sum of all of the

slices of work accomplished on these small intervals, it follows that the total work is given by

While is a straightforward exercise to evaluate this integral exactly using the Fundamental Theorem of Calculus, in applied settings such as this one we will typically use computing technology to find accurate approximations of integrals that are of

interest to us. Here, it turns out that

679.461 foot-pounds.

Our work in the most recent example above employs the following important general principle.

Work

For an object being moved in the positive direction along an axis, x, by a force F(x), the total work to move the object from a to b is given by

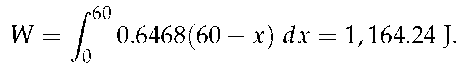
How much work is performed pulling a 60 m climbing rope up a cliff face, where the rope has a mass of 66 g/m?

Solution. We need to create a force function F(x) on the interval [0,60]. To do so, we must first decide what x is measuring: it is the length of the rope still hanging or is it the amount of rope pulled in? As long as we are consistent, either approach is fine. We adopt for this example the convention that x is the amount of rope pulled in. This seems to match intuition better; pulling up the first 10 meters of rope involves x = 0 to x = 10 instead of x = 60 to x = 50.

As x is the amount of rope pulled in, the amount of rope still hanging is 60 — x. This length of rope has a mass of 66 g/m, or 0.066 kg/m. The the mass of the rope still hanging is 0.066(60 — x) kg; multiplying this mass by the acceleration of gravity, 9.8 m/s2, gives our variable force function

Thus the total work performed in pulling up the rope is

By comparison, consider the work done in lifting the entire rope 60 meters. The rope weights 60 x 0.066 x 9.8 = 38.808 N, so the work applying this force for 60 meters is 60 x 38.808 = 2,328.48 J. This is exactly twice the work calculated before (and we leave it to the reader to understand why.)

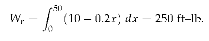
Example 2

A box of 100 lb of sand is being pulled up at a uniform rate a distance of 50 ft over 1 minute. The sand is leaking from the box at a rate of 1 lb/s. The box itself weighs 5 lb and is pulled by a rope weighing .2 lb/ft.

1 . How much work is done lifting just the rope?

2. How much work is done lifting just the box and sand?

3. What is the total amount of work performed? Solution.

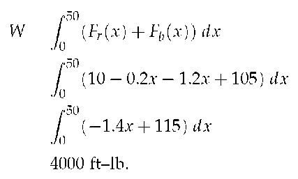
1. We start by forming the force function Fr( x) for the rope (where the subscript denotes we are considering the rope). As in the previous example, let x denote the amount of rope, in feet, pulled in. (This is the same as saying x denotes the height of the box.) The weight of the rope with x feet pulled in is Fr (x) = 0.2(50 — x) = 10 — 0.2x. (Note that we do not have to include the acceleration of gravity here, for the weight of the rope per foot is given, not its mass per meter as before.) The work performed lifting the rope is

2. The sand is leaving the box at a rate of 1 lb/s. As the vertical trip is to take one minute, we know that 60 lb will have left when the box reaches its final height of 50 ft. Again letting x represent the height of the box, we have two points on the line that describes the weight of the sand: when x = 0, the sand weight is 100 lb, producing the point ( 0, 100) ; when x = 50, the sand in the box weighs 40 lb, producing

the point (50,40). The slope of this line is

giving the

equation of the weight of the sand at height x as w(x) = —1.2x + 100. The box itself weighs a constant 5 lb, so the total force function is Fb(x) = —1.2x + 105. Integrating from x = 0 to x = 50 gives the work performed in lifting box and sand:

3. The total work is the sum of Wr and Wb: 250 + 3750 = 4000 ft-lb. We can also arrive at this via integration:

Example 3

Hooke's Law states that the force required to compress or stretch a spring x units from its natural length is proportional to x; that is, this force is F( x) = kx for some constant k.

A force of 20 lb stretches a spring from a length of 7 inches to a length of 12 inches. How much work was performed in stretching the spring to this length?

Solution. In many ways, we are not at all concerned with the actual length of the spring, only with the amount of its change. Hence, we do not care that 20 lb of force stretches the spring to a length of 12 inches, but rather that a force of 20 lb stretches the spring by 5 in. This is illustrated in Figure ??; we only measure the change in the spring's length, not the overall length of the spring.

Converting the units of length to feet, we have

F(5/12) = 5/12k = 20 lb.

Thus k = 48 lb/ft and F(x) = 48x.

We compute the total work performed by integrating F(x) from x = 0

to x = 5/12:

Activity 5-1

Consider the following situations in which a varying force accomplishes work.

(a) Suppose that a heavy rope hangs over the side of a cliff. The rope is 200 feet long and weighs 0.3 pounds per foot; initially the rope is fully extended. How much work is required to haul in the entire length of the rope? (Hint: set up a function F(h) whose value is the weight of the rope remaining over the cliff after h feet have been hauled in.)

(b) A leaky bucket is being hauled up from a 100 foot deep well. When lifted from the water, the bucket and water together weigh 40 pounds. As the bucket is being hauled upward at a constant rate, the bucket leaks water at a constant rate so that it is losing weight at a rate of 0.1 pounds per foot. What function B(h) tells the weight of the bucket after the bucket has been lifted h feet? What is the total amount of work accomplished in lifting the bucket to the top of the well?

(c) Now suppose that the bucket in (b) does not leak at a constant rate, but rather that its weight at a height h feet above the water is given by B(h) = 25 + 15e—0.05h. What is the total work required to lift the bucket 100 feet? What is the average force exerted on the bucket on

the interval h = 0 to h = 100?

(d) From physics, Hooke's Law for springs states that the amount of force required to hold a spring that is compressed (or extended) to a particular length is proportionate to the distance the spring is compressed (or extended) from its natural length. That is, the force to compress (or extend) a spring x units from its natural length is F(x) = kx for some constant k (which is called the spring constant.) For springs, we choose to measure the force in pounds and the distance the spring is compressed in feet.

Suppose that a force of 5 pounds extends a particular spring 4 inches (1/3 foot) beyond its natural length.

i. Use the given fact that F(1/3) = 5 to find the spring constant

k.

ii. Find the work done to extend the spring from its natural length to l foot beyond its natural length.

iii. Find the work required to extend the spring from l foot beyond its natural length to 1.5 feet beyond its natural length.

Figure 6.30: A sump crock.

2 Image credit to

http://www.warreninspect.com/basement-moisture.

Work: Pumping Liquid from a Tank

In certain geographic locations where the water table is high, residential homes with basements have a peculiar feature: in the basement, one finds a large hole in the floor, and in the hole, there is water. For example, in Figure 6.30 where we see a sump crock2. Essentially, a sump crock provides an outlet for water that may build up beneath the basement floor; of course, as that water rises, it is imperative that the water not flood the basement. Hence, in the crock we see the presence of a floating pump that sits on the surface of the water: this pump is activated by elevation, so when the water level reaches a particular height, the pump turns on and pumps a certain portion of the water out of the crock, hence relieving the water buildup beneath the foundation. One of the questions we'd like to answer is: how much work does a sump pump accomplish?

Figure 6.31: A sump crock with approximately cylindrical cross-sections that is 4 feet deep, 1.5 feet in diameter at its base, and 3 feet in diameter at its top.

To that end, let's suppose that we have a sump crock that has the shape of a frustum of a cone, as pictured in Figure 6.31. Assume that the crock has a diameter of 3 feet at its surface, a diameter of 1.5 feet at its base, and a depth of 4 feet. In addition, suppose that the sump pump is set up so that it pumps the water vertically up a pipe to a drain that is located at ground level just outside a basement window. To accomplish this, the pump must send the water to a location 9 feet above the surface of the sump crock.

It turns out to be advantageous to think of the depth below the surface of the crock as being the independent variable, so, in problems such as this one we typically let the positive x-axis point down, and the positive x-axis to the right, as pictured in the figure. As we think about the work that the pump does, we first realize that the pump sits on the surface of the water, so it makes sense to think about the pump moving the water one "slice" at a time, where it takes a thin slice from the surface, pumps it out of the tank, and then proceeds to pump the next slice below.

For the sump crock described in this example, each slice of water is cylindrical in shape. We see that the radius of each approximately cylindrical slice varies according to the linear function y = f(x) that passes through the points (0,1.5) and (4,0.75), where x is the depth of the particular slice in the tank; it is a straightforward exercise to find that f(x) = 1.5 — 0.375x.

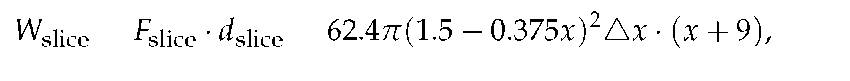
Now we are prepared to think about the overall problem in several steps: (a) determining the volume of a typical slice; (b) finding the weight3 of a typical slice (and thus the force that must be exerted on it); (c) deciding the distance that a typical slice moves; and (d) computing the work to move a representative slice. Once we know the work it takes to move one slice, we use a definite integral over an appropriate interval to find the total work.

3 We assume that the weight density of water is 62.4 pounds per cubic foot.

Consider a representative cylindrical slice that sits on the surface of the water at a depth of x feet below the top of the crock. It follows that the approximate volume of that slice is given by

Since water weighs 62.4 lb/ft3, it follows that the approximate weight of a representative slice, which is also the approximate force the pump must exert to move the slice, is

Because the slice is located at a depth of x feet below the top of the crock, the slice being moved by the pump must move x feet to get to the level of the basement floor, and then, as stated in the problem description, be moved another 9 feet to reach the drain at ground level outside a basement window. Hence, the total distance a representative slice travels is

dslice = x + 9.

Finally, we note that the work to move a representative slice is given by

since the force to move a particular slice is constant.

We sum the work required to move slices throughout the tank

(from x = 0 to x = 4), let

and hence

which, when evaluated using appropriate technology, shows

that the total work is

The preceding example demonstrates the standard approach to finding the work required to empty a tank filled with liquid. The main task in each such problem is to determine the volume of a representative slice, followed by the force exerted on the slice, as well as the distance such a slice moves. In the case where the units are metric, there is one key difference: in the metric setting, rather than weight, we normally first find the mass of a slice. For instance, if distance is measured in meters, the mass density of water is 1000 kg/m3. In that setting, we can find the mass of a typical slice (in kg). To determine the force required to move it, we use F = ma, where m is the object's mass and a is the gravitational constant 9.81 N/kg3. That is, in metric units, the weight density of water is 9810 N/m3.

Figure 6.32: Illustrating a water tank in order to compute the work required to empty it in Example 4.

A cylindrical shape.

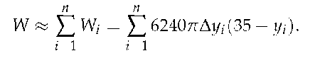
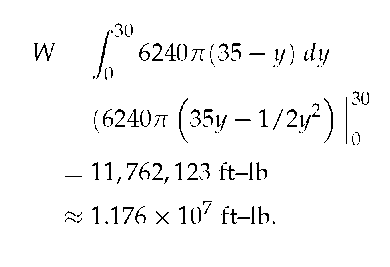
Example 4

A cylindrical storage tank with a radius of 10 ft and a height of 30 ft is filled with water, which weighs approximately 624 lb/ft3. Compute the amount of work performed by pumping the water up to a point 5 feet above the top of the tank.

Solution. We will refer often to Figure 6.32 which illustrates the salient aspects of this problem.

We start as we often do: we partition an interval into subintervals. We orient our tank vertically since this makes intuitive sense with the base of the tank at y = 0. Hence the top of the water is at y = 30, meaning we are interested in subdividing the y-interval [0,30] into n subintervals as

Consider the work Wi of pumping only the water residing in the ith subinterval, illustrated in Figure 6.32. The force required to move this water is equal to its weight which we calculate as volume x density. The

volume of water in this subinterval is

its density is 62.4

lb/ft3. Thus the required force is

We approximate the distance the force is applied by using any y-value contained in the ith subinterval; for simplicity, we arbitrarily use y,- for now (it will not matter later on). The water will be pumped to a point 5 feet above the top of the tank, that is, to the height of y = 35 ft. Thus the distance the water at height yi travels is 35 — yi ft.

In all, the approximate work Wi performed in moving the water in the ith subinterval to a point 5 feet above the tank is

and the total work performed is

This is a Riemann sum. Taking the limit as the subinterval length goes to o gives

Figure 6.33: A graph of the conical water tank t in Example 5.

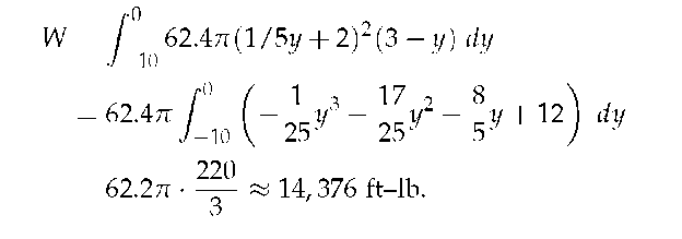
Example 5

A conical water tank has its top at ground level and its base 10 feet below ground. The radius of the cone at ground level is 2 ft. It is filled with water weighing 62.4 lb/ft3 and is to be emptied by pumping the water to a spigot 3 feet above ground level. Find the total amount of work performed in emptying the tank.

Solution. The conical tank is sketched in Figure 6.33. We can orient the tank in a variety of ways; we could let y = 0 represent the base of the tank and y = 10 represent the top of the tank, but we choose to keep the convention of the wording given in the problem and let y = 0 represent ground level and hence y = —10 represents the bottom of the tank. The actual "height" of the water does not matter; rather, we are concerned with the distance the water travels.

The figure also sketches a differential element, a cross-sectional circle. The radius of this circle is variable, depending on y. When y = —10, the circle has radius o; when y = 0, the circle has radius 2. These two points, ( — 10,0) and (0,2), allow us to find the equation of the line that gives the radius of the cross-sectional circle, which is r(y) = l/5y + 2. Hence

the volume of water at this height is

where

dy represents a very small height of the differential element. The force required to move the water at height y is F(y) = 62.4 x V(y).

The distance the water at height y travels is given by h(y) = 3 — y. Thus the total work done in pumping the water from the tank is

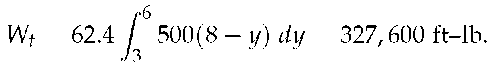
Example 6

A rectangular swimming pool is 20 ft wide and has a 3 ft "shallow end" and a 6 ft "deep end." It is to have its water pumped out to a point 2 ft above the current top of the water. The cross-sectional dimensions of the water in the pool are given in Figure 6.34; note that the dimensions are for the water, not the pool itself. Compute the amount of work performed in draining the pool.

Figure 6.34: The cross-section of a swimming pool filled with water in Example 6.

The dimensions of a swimming pool.

Figure 6.35: Orienting the pool and showing differential elements for Example 6.

The swimming pool on a graph.

Solution. For the purposes of this problem we choose to set y = 0 to represent the bottom of the pool, meaning the top of the water is at y = 6.

Figure 6. 35 shows the pool oriented with this y-axis, along with 2 differential elements as the pool must be split into two different regions.

The top region lies in the y-interval of [3,6], where the length of the differential element is 25 ft as shown. As the pool is 20 ft wide, this differential element represents a this slice of water with volume V(y) = 20 • 25 • dy. The water is to be pumped to a height of y = 8, so the height function is h(y) = 8 — y. The work done in pumping this top region of water is

The bottom region lies in the y-interval of [0, 3]; we need to compute the length of the differential element in this interval.

One end of the differential element is at x = 0 and the other is along the line segment joining the points (10,0) and (15,3). The equation of this line is y = 3/5( x — 10); as we will be integrating with respect to y, we rewrite this equation as x = 5/3y + 10. So the length of the differential element is a difference of x-values: x = 0 and x = 5/3y + 10, giving a length of x = 5/3y + 10.

Again, as the pool is 20 ft wide, this differential element represents a thin slice of water with volume V(y) = 20 • (5/3y + 10) • dy; the height function is the same as before at h( y) = 8 — y. The work performed in emptying this part of the pool is

The total work in emptying the pool is

W = Wb + Wt = 327,600 + 299,520 = 627,120 ft-lb.

Notice how the emptying of the bottom of the pool performs almost as much work as emptying the top. The top portion travels a shorter distance but has more water. In the end, this extra water produces more work.

Figure 6.36: A trough with triangular ends, as described in Activity4-2, part (c).

A triangular shape on a graph.

Activity 5-2

In each of the following problems, determine the total work required to accomplish the described task. In parts (b) and (c), a key step is to find a formula for a function that describes the curve that forms the side boundary of the tank.

(a) Consider a vertical cylindrical tank of radius 2 meters and depth 6 meters. Suppose the tank is filled with 4 meters of water of mass density 1000 kg/m3, and the top 1 meter of water is pumped over the top of the tank.

(b) Consider a hemispherical tank with a radius of 10 feet. Suppose that the tank is full to a depth of 7 feet with water of weight density 62.4 pounds/ft3, and the top 5 feet of water are pumped out of the tank to a tanker truck whose height is 5 feet above the top of the tank.

(c) Consider a trough with triangular ends, as pictured in Figure 6.36, where the tank is 10 feet long, the top is 5 feet wide, and the tank is 4 feet deep. Say that the trough is full to within 1 foot of the top with water of weight density 62.4 pounds/ft3, and a pump is used to empty the tank until the water remaining in the tank is 1 foot deep.

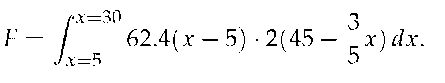
Force due to Hydrostatic Pressure

When a dam is built, it is imperative to for engineers to understand how much force water will exert against the face of the dam. The first thing we realize is the the force exerted by the fluid is related to the natural concept of pressure. The pressure a force exerts on a region is measured in units of force per unit of area: for example, the air pressure in a tire is often measured in pounds per square inch (PSI). Hence, we see that the general relationship is given by

or F = P • A,

where P represents pressure, F represents force, and A the area of the region being considered. Of course, in the equation F = PA, we assume that the pressure is constant over the entire region A.

Most people know from experience that the deeper one dives underwater while swimming, the greater the pressure that is exerted by the water. This is due to the fact that the deeper one dives, the more water there is right on top of the swimmer: it is the force that "column" of water exerts that determines the pressure the swimmer experiences. To get water pressure measured in its standard units (pounds per square foot), we say that the total water pressure is found by computing the total weight of the column of water that lies above a region of area 1 square foot at a fixed depth. Such a rectangular column with a 1 x 1 base and a depth of d feet has volume V = 1 • 1 • d ft3, and thus the corresponding weight of the water overhead is 62.4d. Since this is also the amount of force being exerted on a 1 square foot region at a depth d feet underwater, we see that P = 62.4d (lbs/ft2) is the pressure exerted by water at depth d.

The understanding that P = 62.4d will tell us the pressure exerted by water at a depth of d, along with the fact that F = PA, will now enable us to compute the total force that water exerts on a dam, as we see in the following example.

Example 7

Consider a trapezoid-shaped dam that is 60 feet wide at its base and 90

Figure 6.37: A trapezoidal dam that is 25 feet tall, 60 feet wide at its base, 90 feet wide at its top, with the water line 5 feet down from the top of its face.

A trapezoidal dam on a graph.

feet wide at its top, and assume the dam is 25 feet tall with water that rises to within 5 feet of the top of its face. Water weighs 62.5 pounds per cubic foot. How much force does the water exert against the dam?

Solution. First, we sketch a picture of the dam, as shown in Figure 6.37. Note that, as in problems involving the work to pump out a tank, we let the positive x-axis point down.

It is essential to use the fact that pressure is constant at a fixed depth. Hence, we consider a slice of water at constant depth on the face, such as the one shown in the figure. First, the approximate area of this slice is the area of the pictured rectangle. Since the width of that rectangle depends on the variable x (which represents the how far the slice lies from the top of the dam), we find a formula for the function y = f(x) that determines one side of the face of the dam. Since f is linear, it is

straightforward to find that

Hence, the approximate

area of a representative slice is

At any point on this slice, the depth is approximately constant, and thus the pressure can be considered constant. In particular, we note that since x measures the distance to the top of the dam, and because the water rises to within 5 feet of the top of the dam, the depth of any point on the representative slice is approximately (x — 5). Now, since pressure is given by P = 62.4d, we have that at any point on the representative slice

Pslice = 62.4(x-5).

Knowing both the pressure and area, we can find the force the water exerts on the slice. Using F = PA, it follows that

Finally, we use a definite integral to sum the forces over the appropriate range of x-values. Since the water rises to within 5 feet of the top of the dam, we start at x = 5 and slice all the way to the bottom of the dam, where x = 30. Hence,

Using technology to evaluate the integral, we find

Figure 6.38: A thin plate in the shape of an isosceles triangle in Example 8.

The dimensions of a triangle that is 4 feet on each side.

Example 8

Consider a thin plate in the shape of an isosceles triangle as shown in Figure 6.38 submerged in water with a weight-density of 62.4 lb/ft3. If the bottom of the plate is 10 ft below the surface of the water, what is the total fluid force exerted on this plate?

Solution. We approach this problem in two different ways. First we will let y = 0 represent the surface of the water, then we will consider an alternate convention.

Figure 6.39: Sketching the triangular plate in Example 8 with the convention that the water level is at y = 0.

A water line and a triangular plate on a graph.

1 . We let y = 0 represent the surface of the water; therefore the bottom of the plate is at y = —10. We center the triangle on the y-axis as shown in Figure 6.39. The depth of the plate at y is y as indicated by the Key Idea. We now consider the length of the plate at y. We need to find equations of the left and right edges of the plate. The right hand side is a line that connects the points (0, —10) and (2, —6): that line has equation x = 1/2(y + 10). (Find the equation in the familiar y = mx + b format and solve for x.) Likewise, the left hand side is described by the line x = —1/2(y + 10). The total length is the distance between these two lines: £(y) = 1/2(y + 10) — ( —1/2(y +

10)) = y +10.

The total fluid force is then:

Figure 6.40: Sketching the triangular plate in Example 8 with the convention that the base of the triangle is at ( 0, 0) .

A water line and a triangular plate on a graph.

2. Sometimes it seems easier to orient the thin plate nearer the origin. For instance, consider the convention that the bottom of the triangular plate is at ( 0, 0) , as shown in Figure 6.40. The equations of the left and right hand sides are easy to find. They are y = 2x and y = — 2x, respectively, which we rewrite as x = 1/2y and x = 1/2y. Thus the length function is £(y) = 1/2y — (—1/2y) = y.

As the surface of the water is 10 ft above the base of the plate, we have that the surface of the water is at y = 10. Thus the depth function is the distance between y = 10 and y; d(y) = 10 y. We compute the total fluid force as:

The correct answer is, of course, independent of the placement of the plate in the coordinate plane as long as we are consistent.

Figure 6.41: Measuring the fluid force on an underwater porthole in Example 9.

A water line and a porthole on a graph.

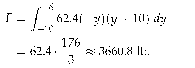
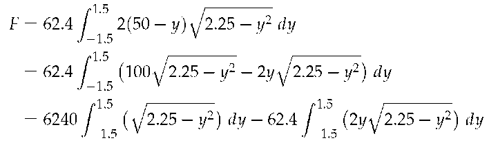
Example 9

An underwater observation tower is being built with circular viewing portholes enabling visitors to see underwater life. Each vertically oriented porthole is to have a 3 ft diameter whose center is to be located 50 ft underwater. Find the total fluid force exerted on each porthole. Also, compute the fluid force on a horizontally oriented porthole that is under 50 ft of water.

Solution. We place the center of the porthole at the origin, meaning the surface of the water is at y = 50 and the depth function will be d(y) = 50 — y; see Figure 6.41

The equation of a circle with a radius of 1.5 is x2 + y2 = 2.25; solving

for x we have

where the positive square root corresponds to the right side of the circle and the negative square root corresponds to the left side of the circle. Thus the length function at depth y is

Integrating on [—1.5,1.5] we have:

The second integral above can be evaluated using Substitution. Let u = 2.25 — y2 with du = —2ydy. The new bounds are: u(—1.5) = 0 and u(1.5) = 0; the new integral will integrate from u = 0 to u = 0, hence the integral is 0.

The first integral above finds the area of half a circle of radius 1.5, thus

the first integral evaluates to

Thus the total

fluid force on a vertically oriented porthole is 22,054 lb.

Finding the force on a horizontally oriented porthole is more straightforward:

F = Pressure x Area =

That these two forces are equal is not coincidental; it turns out that the fluid force applied to a vertically oriented circle whose center is at depth d is the same as force applied to a horizontally oriented circle at depth

d.

Figure 6.42: A trough with triangular ends, as described in Activity4-3, part (c).

A triangular shape on a graph.

Activity 5-3

In each of the following problems, determine the total force exerted by water against the surface that is described.

(a) Consider a rectangular dam that is 100 feet wide and 50 feet tall, and suppose that water presses against the dam all the way to the top.

(b) Consider a semicircular dam with a radius of 30 feet. Suppose that the water rises to within 10 feet of the top of the dam.

(c) Consider a trough with triangular ends, as pictured in Figure 6.42, where the tank is 10 feet long, the top is 5 feet wide, and the tank is 4 feet deep. Say that the trough is full to within 1 foot of the top with water of weight density 62.4 pounds/ft3. How much force does the water exert against one of the triangular ends?

While there are many different formulas that we use in solving problems involving work, force, and pressure, it is important to understand that the fundamental ideas behind these problems are similar to several others that we've encountered in applications of the definite integral. In particular, the basic idea is to take a difficult problem and somehow slice it into more manageable pieces that we understand, and then use a definite integral to add up these simpler pieces.

Summary

In this section, we encountered the following important ideas:

• To measure the work accomplished by a varying force that moves an object, we subdivide the problem into pieces on which we can use the formula W = F • d, and then use a definite integral to sum the work accomplished on each piece.

• To find the total force exerted by water against a dam, we use the formula F = P • A to measure the force exerted on a slice that lies at a fixed depth, and then use a definite integral to sum the forces across the appropriate range of depths.

• Because work is computed as the product of force and distance (provided force is constant), and the force water exerts on a dam can be computed as the product of pressure and area (provided pressure is constant), problems involving these concepts are similar to earlier problems we did using definite integrals to find distance (via "distance equals rate times time") and mass ("mass equals density times volume").

Exercises

Terms and Concepts

1) What are the typical units of work?

2) If a man has a mass of 80 kg on Earth, will his mass on the moon be bigger, smaller, or the same?

3) If a woman weighs 130 lb on Earth, will her weight on the moon be bigger, smaller, or the same?

Problems

4) A 100 ft rope, weighing 0.1 lb/ft, hangs over the edge of a tall building.

(a) How much work is done pulling the entire rope to the top of the building?

(b) How much rope is pulled in when half of the total work is done?

5) A 50 m rope, with a mass density of 0.2 kg/m, hangs over the edge of a tall building.

(a) How much work is done pulling the entire rope to the top of the building?

(b) How much work is done pulling in the first 20 m?

6) A rope of length I ft hangs over the edge of tall cliff. (Assume the cliff is taller than the length of the rope.) The rope has a weight density of d lb/ft.

(a) How much work is done pulling the entire rope to the top of the cliff?

(b) What percentage of the total work is done pulling in the first half of the rope?

(c) How much rope is pulled in when half of the total work is done?

7) A 20 m rope with mass density of 0.5 kg/m hangs over the edge of a 10 m building. How much work is done pulling the rope to the top?

8) A crane lifts a 2,000 lb load vertically 30 ft with a 1" cable weighing 1.68 lb/ft.

(a) How much work is done lifting the cable alone?

(b) How much work is done lifting the load alone?

(c) Could one conclude that the work done lifting the cable is negligible compared to the work done lifting the load?

9) A 100 lb bag of sand is lifted uniformly 120 ft in one minute. Sand leaks from the bag at a rate of 1/4 lb/s. What is the total work done in lifting the bag?

10) A box weighing 2 lb lifts 10 lb of sand vertically 50 ft. A crack in the box allows the sand to leak out such that 9 lb of sand is in the box at the end of the trip. Assume the sand leaked out at a uniform rate. What is the total work done in lifting the box and sand?

11) A force of 1000 lb compresses a spring 3 in. How much work is performed in compressing the spring?

12) A force of 2 N stretches a spring 5 cm. How much work is performed in stretching the spring?

13) A force of 50 lb compresses a spring from 18 in to 12 in. How much work is performed in compressing the spring?

14) A force of 20 lb stretches a spring from 6 in to 8 in. How much work is performed in stretching the spring?

15) A force of 7 N stretches a spring from 11 cm to 21 cm. How much work is performed in stretching the spring?

16) A force of f N stretches a spring d m. How much work is performed in stretching the spring?

17) A 20 lb weight is attached to a spring. The weight rests on the spring, compressing the spring from a natural length of 1 ft to 6 in.

How much work is done in lifting the box 1.5 ft (i.e, the spring will be stretched 1 ft beyond its natural

length)?

18) A 20 lb weight is attached to a spring. The weight rests on the spring, compressing the spring from a natural length of 1 ft to 6 in.

How much work is done in lifting the box 6 in (i.e, bringing the spring back to its natural length)?

19) A 5 m tall cylindrical tank with radius of 2 m is filled with 3 m of gasoline, with a mass density of 737.22 kg/m3. Compute the total work performed in pumping all the gasoline to the top of the tank.

20) A 6 ft cylindrical tank with a radius of 3 ft is filled with water, which has a weight density of 62.4 lb/ft3. The water is to be pumped to a point 2 ft above the top of the tank.

(a) How much work is performed in pumping all the water from the tank?

(b) How much work is performed in pumping 3 ft of water from the tank?

(c) At what point is 1/2 of the total work done?

21) A gasoline tanker is filled with gasoline with a weight density of 45.93 lb/ft3. The dispensing valve at the base is jammed shut, forcing the operator to empty the tank via pumping the gas to a point 1 ft above the top of the tank. Assume the tank is a perfect cylinder, 20 ft long with a diameter of 7.5 ft.

How much work is performed in pumping all the gasoline from the tank?

A three dimensional shape.

22) A fuel oil storage tank is 10 ft deep with trapezoidal sides, 5 ft at the top and 2 ft at the bottom, and is 15 ft wide (see diagram below). Given that fuel oil weighs 55.46 lb/ft3, find the work performed in pumping all the oil from the tank to a point 3 ft above the top of the tank.

23) A conical water tank is 5 m deep with a top radius of 3 m. The tank is filled with pure water, with a mass density of 1000 kg/m3.

(a) Find the work performed in pumping all the water to the top of the tank.

(b) Find the work performed in pumping the top 2.5 m of water to the top of the tank.

(c) Find the work performed in pumping the top half of the water, by volume, to the top of the tank.

A three dimensional cylindrical shape.

24) A water tank has the shape of a truncated cone, with dimensions given below, and is filled with water with a weight density of 62.4 lb/ft3. Find the work performed in pumping all water to a point 1 ft above the top of the tank.

25) A water tank has the shape of an inverted pyramid, with dimensions given below, and is filled with water with a mass density of 1000 kg/m3. Find the work performed in pumping all water to a point 5 m above the top of the tank.

A three dimensional shape.

26) A water tank has the shape of an truncated, inverted pyramid, with dimensions given below, and is filled

with water with a mass density of 1000 kg/m3. Find the work performed in pumping all water to a point 1 m above the top of the tank.

27) A cylindrical tank, buried on its side, has radius 3 feet and length 10 feet. It is filled completely with water whose weight density is 62.4 lbs/ft3, and the top of the tank is two feet underground.

(a) Set up an integral expression that represents the amount of work required to empty the top half of the water in the tank to a truck whose tank lies 4.5 feet above ground.

(b) With the tank now only half-full, set up an integral expression that represents the total force due to hydrostatic pressure against one end of the tank.

Annotate

Next Chapter
6. An Introduction to Differential Equations
PreviousNext
Powered by Manifold Scholarship. Learn more at
Opens in new tab or windowmanifoldapp.org