Skip to main content

Armstrong Calculus: 8. Hyperbolic Functions

Armstrong Calculus
8. Hyperbolic Functions
  • Show the following:

    Annotations
    Resources
  • Adjust appearance:

    Font
    Font style
    Color Scheme
    Light
    Dark
    Annotation contrast
    Low
    High
    Margins
  • Search within:
    • Notifications
    • Privacy
  • Project HomeArmstrong Calculus
  • Projects
  • Learn more about Manifold

Notes

table of contents
    1. Preface
    2. Acknowledgments
  1. 1. Using Definite Integrals to Find Volume
    1. Motivating Questions
    2. Introduction
    3. Preview Activity 1
    4. The Volume of a Solid of Revolution
    5. Disk Method
    6. Washer Method
    7. Activity 1-1
    8. Activity 1-2
    9. Activity 1-3
    10. Volumes of Other Solids
    11. Volume By Cross-Sectional Area
    12. Summary
    13. Exercises
    14. Problems
  2. 2. Volume by The Shell Method
    1. Motivating Questions
    2. Introduction
    3. Preview Activity 2
    4. The Shell Method
    5. Activity 2-1
    6. Activity 2-2
    7. Summary
    8. Exercises
    9. Problems
  3. 3. Arc Length and Surface Area
    1. Motivating Questions
    2. Introduction
    3. Preview Activity 3
    4. Finding the length of a curve
    5. Arc Length
    6. Activity 3-1
    7. Surface Area of Solids of Revolution
    8. Surface Area of a Solid of Revolution
    9. Summary
    10. Exercises
    11. Problems
  4. 4. Density, Mass, and Center of Mass
    1. Motivating Questions
    2. Preview Activity 4
    3. Density
    4. Density, Mass, & Volume
    5. Mass
    6. Activity 4-1
    7. Activity 4-2
    8. Center of Mass
    9. Activity 4-3
    10. Summary
    11. Exercises
    12. Problems
  5. 5. Physics Applications: Work, Force, and Pressure
    1. Motivating Questions
    2. Introduction
    3. Preview Activity 5
    4. Work
    5. Activity 5-1
    6. Activity 5-2
    7. Activity 5-3
    8. Summary
    9. Exercises
    10. Problems
  6. 6. An Introduction to Differential Equations
    1. Motivating Questions
    2. Introduction
    3. Preview Activity 6
    4. Activity 6-1
    5. Activity 6-2
    6. Activity 6-3
    7. Slope Fields
    8. Activity 6-4
    9. Equilibrium solutions and stability
    10. Activity 6-5
    11. Summary
    12. Exercises
  7. 7. Separable differential equations
    1. Motivating Questions
    2. Introduction
    3. Preview Activity 7
    4. Activity 7-1
    5. Activity 7-2
    6. Activity 7-3
    7. Developing a differential equation
    8. Activity 7-4
    9. Activity 7-5
    10. Activity 7-6
    11. Population Growth
    12. Activity 7-7
    13. Activity 7-8
    14. Summary
    15. Exercises
  8. 8. Hyperbolic Functions
    1. Motivating Questions
    2. Introduction
    3. Hyperbolic Functions
    4. Activity 8-1
    5. Useful Hyperbolic Function Properties
    6. Activity 8-2
    7. Inverse Hyperbolic Functions
    8. Logarithmic definitions of Inverse
    9. Derivatives Involving Inverse Hyperbolic Functions
    10. Activity 8-3
    11. Exercises

8. Hyperbolic Functions

Motivating Questions

In this section, we strive to understand the ideas generated by the following important questions:

• What are hyperbolic functions?

• What properties do hyperbolic functions possess?

Introduction

The hyperbolic functions are a set of functions that have many applications to mathematics, physics, and engineering. Among many other applications, they are used to describe the formation of satellite rings around planets, to describe the shape of a rope hanging from two points, and have application to the theory of special relativity. This section defines the hyperbolic functions and describes many of their properties, especially their usefulness to calculus.

Hyperbolic Functions

These functions are sometimes referred to as the "hyperbolic trigonometric functions" as there are many, many connections between them and the standard trigonometric functions. Figure 6.55 demonstrates one such connection. Just as cosine and sine are used to define points on the circle defined by x2 + y2 = 1, the functions hyperbolic cosine and hyperbolic sine are used to define points on the hyperbola x2 — y2 = 1.

Figure 6.55: Using trigonometric functions to define points on a circle and hyperbolic functions to define points on a hyperbola. The area of the shaded regions are included in them.

Two graphs with curves on them.

Hyperbolic Functions

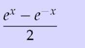
1) sinh(x) =4) csch( x) =
2) cosh( x) =5) sech( x) =
3) tanh( x) =6) coth( x) =

These hyperbolic functions are graphed in Figure 6.56. In the graphs of cosh(x) and sinh(x), graphs of ex/2 and e—x/2 are included with dashed lines. As x gets "large," cosh(x) and sinh( x) each act like ex/2; when x is a large negative number,

cosh(x) acts like e—x/2 whereas sinh(x) acts like —e—x/2.

Notice the domains of tanh( x) and sech( x) are

whereas

both coth(x) and csch(x) have vertical asymptotes at x = 0. Also

note the ranges of these function, especially tanh( x): as

both sinh(x) and cosh(x) approach e x/2, hence tanh(x) approaches 1.

Pronunciation Note:

"cosh" rhymes with "gosh," "sinh" rhymes with "pinch," and "tanh" rhymes with "ranch."

Figure 6.56: Graphs of the hyperbolic functions.

Four graphs with hyperbolic functions.

The following example explores some of the properties of these functions that bear remarkable resemblance to the properties of their trigonometric counterparts.

Example 1

Use the definitions of the hyperbolic functions to rewrite the following expressions.

1) cosh2(x) — sinh2(x)

2) tanh2 (x) + sech2 (x)

3) 2 cosh( x) sinh( x)

4)

cosh( x)

5)

sinh( x)

6)

tanh( x)

Solution.

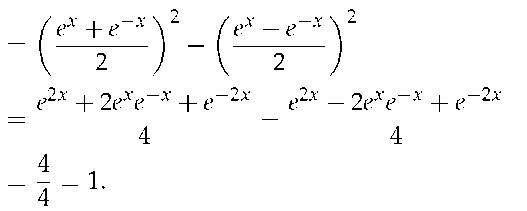
1) cosh2(x) — sinh2(x)

So cosh2(x) — sinh2(x) = 1.

2) tanh2(x) + sech2(x)

Now use identity from #1)

So tanh2 (x) + sech2 (x) = 1.

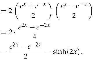
3) 2 cosh( x) sinh( x)

Thus 2 cosh( x) sinh( x) = sinh( 2x).

4)

= sinh( x)

So

cosh( x) = sinh( x) .

5)

d

dx

sinh( x)

= cosh( x)

So

sinh( x) = cosh( x) .

6)

tanh( x) =

= sech2(x)

So

tanh(x) = sech2(x).

Activity 8-1

Compute the following limits.

1)

cosh(x)

2)

sinh(x)

3)

tanh(x)

4)

(cosh(x) — sinh(x))

The following concept summarizes many of the important identities relating to hyperbolic functions. Each can be verified by referring back to the definition of the hyperbolic functions.

Useful Hyperbolic Function Properties

Basic Identities

1) cosh2 (x) — sinh2(x) = 1

2) tanh2 (x) + sech2 (x) = 1

3) coth2(x) — csch2(x) = 1

4) cosh(2x) = cosh2 (x) + sinh2(x)

5) sinh(2x) = 2sinh(x) cosh(x)

6) cosh2(x) =

7) sinh2(x) =

Derivatives

1)

cosh( x) = sinh( x)

2)

sinh( x) = cosh( x)

3)

tanh(x) = sech2(x)

4)

sech( x) = — sech( x) tanh( x)

5)

csch( x) = — csch( x) coth( x)

6)

coth(x) = — csch2(x)

Integrals

1)

cosh(x) dx = sinh(x) + C

2)

sinh(x) dx = cosh(x) + C

3)

tanh(x) dx = ln(cosh(x)) + C

4)

Example 2

Evaluate the following derivatives and integrals.

1)

cosh(2x)

2)

sech2 (7t — 3) dt

3)

cosh( x) dx

Solution.

1) Using the Chain Rule directly, we have

(cosh(2x)) = 2sinh(2x).

Just to demonstrate that it works, let's also use the Basic Identity

cosh(2x) = cosh2 (x) + sinh2(x).

cosh(2x) =

(cosh2 (x) + sinh2 (x))

= 2cosh(x) sinh(x) + 2sinh(x) cosh(x) = 4 cosh( x) sinh( x) .

Using another Basic Identity, we can see that 4cosh(x) sinh(x) = 2 sinh( 2x) . We get the same answer either way.

2) We employ substitution, with u = 7t 3 and du = 7dt. Then we have:

sech2(7t 3) dt =

tanh(7t — 3) + C.

3)

cosh( x) dx = sinh( x)

= sinh(ln(2)) sinh(0) = sinh(ln(2)).

We can simplify this last expression as sinh x is based on exponentials:

sinh(ln(2)) =

Activity 8-2

Evaluate the following integrals.

1)

sinh(3x) + x3 dx

2)

tanh( x) dx)

3)

cosh2(x) dx

4)

Inverse Hyperbolic Functions

Table 6.4: Domains and ranges of the hyperbolic functions.

FunctionDomainRange
cosh( x)
sinh( x)
tanh( x)
sech( x)
csch( x)
coth( x)

Table 6.5: Domains and ranges of the inverse hyperbolic functions.

FunctionDomainRange
cosh 1 ( x)
sinh 1 ( x)
tanh 1 ( x)
sech 1 ( x)
csch 1( x)
coth 1( x)

Just as the inverse trigonometric functions are useful in certain integrations, the inverse hyperbolic functions are useful with others. Table 6.5 shows the restrictions on the domains to make each function one-to-one and the resulting domains and ranges of their inverse functions. Their graphs are shown in Figure 6.57.

Because the hyperbolic functions are defined in terms of exponential functions, their inverses can be expressed in terms of logarithms. It is often more convenient to refer to sinh—1 x than

to ln

especially when one is working on theory

and does not need to compute actual values. On the other hand, when computations are needed, technology is often helpful but many hand-held calculators lack a convenient sinh 1 x button. (Often it can be accessed under a menu system, but not conveniently.) In such a situation, the logarithmic representation is useful.

In next concept, both the inverse hyperbolic and logarithmic function representations of the antiderivative are given. Again, these latter functions are often more useful than the former. Note how inverse hyperbolic functions can be used to solve integrals we used Trigonometric Substitution to solve in Section 5.3.

Logarithmic definitions of Inverse

Figure 6.57: Graphs of the hyperbolic functions and their inverses.

Four graphs with hyperbolic functions and inverses.

Hyperbolic Functions

1) cosh 1(x) = ln

2) tanh 1( x) =

3) sech 1 (x) = ln

4) sinh 1 (x) = ln

5) coth 1( x) =

6) csch 1 (x) = ln

The following concepts give the derivatives and integrals relating to the inverse hyperbolic functions.

Derivatives Involving Inverse Hyperbolic Functions

1)

2)

3)

4)

5)

6)

Activity 8-3

Differentiate the following functions.

1)

(sinh(3x + x3))

2)

(arccos(tanh(x)))

3)

(sinh—1(3 tanh(3x)))

4)

( cosh—1

5) Show that f(t) =

is a solution to the dif-

ferential equation

— 3 f= 0.

Integrals Involving Inverse Hyperbolic Functions

1)

2)

3)

4)

5)

Example 3

Evaluate the following.

1)

Solution.

1 ) Applying the concepts along with the Chain Rule gives:

2) Multiplying the numerator and denominator by ( — 1) gives:

The second integral can be solved with a direct application of item #3 from the integral concepts, with a = 1. Thus

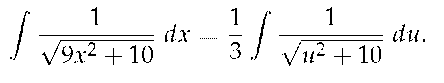
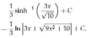
3) This requires a substitution; let u = 3x, hence du = 3dx. We have

Note a2 = 10, hence a =

Now apply the integral rule.

e encountered the following important ideas:

lic functions are similar to trigonometric functions in that they both can represent distances gin to a conic section.

Exercises

Problems

In Exercises 1-8, verify the identity.

1) coth2 x — csch2 x = 1

2) cosh 2x = cosh2 x + sinh2 x

3) cosh2 x =

4) sinh2 x =

5)

[sech x] = — sech x tanh x

6)

[coth x] = — csch2 x

7)

tanh x dx = ln( cosh x) + C

8)

coth x dx = ln

+ C

In Exercises 9-19, differentiate the given function.

9) f( x) = cosh 2x

10) f( x) = tanh( x2)

11 ) f( x) = ln( sinh x)

12) f( x) = sinh x cosh x

13) f( x) = x sinh x — cosh x

14) f(x) = sech—1(x2)

15) f( x) = tanh— 1( cos x)

16) f (x) = cosh—1(sec x)

17) f( x) = sinh— 1( 3x)

18) f(x) = cosh—1(2x2)

19) f(x) = tanh—1(x+5)

In Exercises 20-24, produce the equation of the line tangent to the function at the given x-value.

20) f( x) = sinh x at x = 0

21) f( x) = cosh x at x = ln2

22) f( x) = sech2 x at x = ln 3

23) f (x) = sinh—1 x at x = 0

24) f (x) = cosh 1 x at x =

In Exercises 25-36, evaluate the given indefinite integral.

25)

tanh( 2x) dx

26)

cosh(3x — 7) dx

27)

sinh x cosh x dx

28)

29)

30)

31)

32)

33)

34)

35)

36)

sech x dx (Hint: mutiply by

set u =

sinh x.)

In Exercises 37-39, evaluate the given definite integral.

37)

sinh x dx

38)

cosh x dx

39)

tanh 1 x dx

Annotate

Previous
Powered by Manifold Scholarship. Learn more at
Opens in new tab or windowmanifoldapp.org