Skip to main content

Armstrong Calculus: 1. Using Definite Integrals to Find Volume

Armstrong Calculus
1. Using Definite Integrals to Find Volume
  • Show the following:

    Annotations
    Resources
  • Adjust appearance:

    Font
    Font style
    Color Scheme
    Light
    Dark
    Annotation contrast
    Low
    High
    Margins
  • Search within:
    • Notifications
    • Privacy
  • Project HomeArmstrong Calculus
  • Projects
  • Learn more about Manifold

Notes

table of contents
    1. Preface
    2. Acknowledgments
  1. 1. Using Definite Integrals to Find Volume
    1. Motivating Questions
    2. Introduction
    3. Preview Activity 1
    4. The Volume of a Solid of Revolution
    5. Disk Method
    6. Washer Method
    7. Activity 1-1
    8. Activity 1-2
    9. Activity 1-3
    10. Volumes of Other Solids
    11. Volume By Cross-Sectional Area
    12. Summary
    13. Exercises
    14. Problems
  2. 2. Volume by The Shell Method
    1. Motivating Questions
    2. Introduction
    3. Preview Activity 2
    4. The Shell Method
    5. Activity 2-1
    6. Activity 2-2
    7. Summary
    8. Exercises
    9. Problems
  3. 3. Arc Length and Surface Area
    1. Motivating Questions
    2. Introduction
    3. Preview Activity 3
    4. Finding the length of a curve
    5. Arc Length
    6. Activity 3-1
    7. Surface Area of Solids of Revolution
    8. Surface Area of a Solid of Revolution
    9. Summary
    10. Exercises
    11. Problems
  4. 4. Density, Mass, and Center of Mass
    1. Motivating Questions
    2. Preview Activity 4
    3. Density
    4. Density, Mass, & Volume
    5. Mass
    6. Activity 4-1
    7. Activity 4-2
    8. Center of Mass
    9. Activity 4-3
    10. Summary
    11. Exercises
    12. Problems
  5. 5. Physics Applications: Work, Force, and Pressure
    1. Motivating Questions
    2. Introduction
    3. Preview Activity 5
    4. Work
    5. Activity 5-1
    6. Activity 5-2
    7. Activity 5-3
    8. Summary
    9. Exercises
    10. Problems
  6. 6. An Introduction to Differential Equations
    1. Motivating Questions
    2. Introduction
    3. Preview Activity 6
    4. Activity 6-1
    5. Activity 6-2
    6. Activity 6-3
    7. Slope Fields
    8. Activity 6-4
    9. Equilibrium solutions and stability
    10. Activity 6-5
    11. Summary
    12. Exercises
  7. 7. Separable differential equations
    1. Motivating Questions
    2. Introduction
    3. Preview Activity 7
    4. Activity 7-1
    5. Activity 7-2
    6. Activity 7-3
    7. Developing a differential equation
    8. Activity 7-4
    9. Activity 7-5
    10. Activity 7-6
    11. Population Growth
    12. Activity 7-7
    13. Activity 7-8
    14. Summary
    15. Exercises
  8. 8. Hyperbolic Functions
    1. Motivating Questions
    2. Introduction
    3. Hyperbolic Functions
    4. Activity 8-1
    5. Useful Hyperbolic Function Properties
    6. Activity 8-2
    7. Inverse Hyperbolic Functions
    8. Logarithmic definitions of Inverse
    9. Derivatives Involving Inverse Hyperbolic Functions
    10. Activity 8-3
    11. Exercises

1. Using Definite Integrals to Find Volume

Motivating Questions

In this section, we strive to understand the ideas generated by the following important questions:

• How can we use a definite integral to find the volume of a three-dimensional solid of revolution that results from revolving a two-dimensional region about a particular axis?

• In what circumstances do we integrate with respect to y instead of integrating with respect to x?

• What adjustments do we need to make if we revolve about a line other than the x- or y-axis?

Introduction

Figure 6.1: A right circular cylinder.

A horizontal cylinder perpendicular to the y-axis starts at x equals 0 and ends at x equals 3. Its radius lies at 2 about the y-axis, and x is labeled on the x-axis at the halfway point between 0 and 3. There is a circular slice through the cylinder at x, which is labeled delta x.

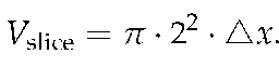
Just as we can use definite integrals to add up the areas of rectangular slices to find the exact area that lies between two curves, we can also employ integrals to determine the volume of certain regions that have cross-sections of a particular consistent shape. As a very elementary example, consider a cylinder of radius 2 and height 3, as pictured in Figure 6.19. While we know that we can compute the area of any circular cylinder by the formula

V, pi r squared.

if we think about slicing the cylinder into thin pieces, we see that each is a cylinder of radius r = 2 and height (thickness)

Hence, the volume of a representative slice is

Letting

and using a definite integral to add the volumes of the slices, we find that

Moreover, since

we have found that the vol-

ume of the cylinder is

The principal problem of interest in our upcoming work will be to find the volume of certain solids whose cross-sections are all thin cylinders (or washers) and to do so by using a definite integral. To that end, we first consider another familiar shape in Preview Activity 1: a circular cone.

Preview Activity 1

Figure 6.2: The circular cone described in Preview Activity1

A conical slice with the equation y equals f of x. Its tip is at x equals 5 and its base starts at y equals 3 and ends at y equals negative 3 and has a radius of 3. There is a slice labeled x about the x-axis with a thickness of delta x.

Consider a circular cone of radius 3 and height 5, which we view horizontally as pictured in Figure 6.2. Our goal in this activity is to use a definite integral to determine the volume of the cone.

(a) Find a formula for the linear function y = f(x) that is pictured in Figure 6.2.

(b) For the representative slice of thickness

that is located horizontally at a location x (somewhere between x = 0 and x = 5), what is the radius of the representative slice? Note that the radius depends on the value of x.

(c) What is the volume of the representative slice you found in (b)?

(d) What definite integral will sum the volumes of the thin slices across the full horizontal span of the cone? What is the exact value of this definite integral?

(e) Compare the result of your work in (d) to the volume of the cone that comes from using the formula

The Volume of a Solid of Revolution

A solid of revolution is a three dimensional solid that can be generated by revolving one or more curves around a fixed axis. For example, we can think of a circular cylinder as a solid of revolution: in Figure 6.19, this could be accomplished by revolving the line segment from (0,2) to (3,2) about the x-axis. Likewise, the circular cone in Figure 6.2 is the solid of revolution generated by revolving the portion of the line

from x = 0

to x = 5 about the x-axis. It is particularly important to notice in any solid of revolution that if we slice the solid perpendicular to the axis of revolution, the resulting cross-section is circular.

We consider two examples to highlight some of the natural issues that arise in determining the volume of a solid of revolution.

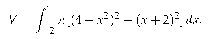
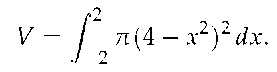
Example 1

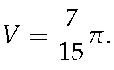
Find the volume of the solid of revolution generated when the region R bounded by y = 4 — x2 and the x-axis is revolved about the x-axis.

Solution. First, we observe that y = 4 — x2 intersects the x-axis at the points (—2,0) and (2,0). When we take the region R that lies between the curve and the x-axis on this interval and revolve it about the x-axis, we get the three-dimensional solid pictured in Figure 6.3.

Taking a representative slice of the solid located at a value x that lies between x = —2 and x = 2, we see that the thickness of such a slice is

(which is also the height of the cylinder-shaped slice), and that the

radius of the slice is determined by the curve

Hence, we find

that

since the volume of a cylinder of radius r and height h is

Using a definite integral to sum the volumes of the representative slices, it follows that

It is straightforward to evaluate the integral and find that the volume is

Figure 6.3: The solid of revolution in Example 1.

The a cross-section of a cylindrical disk with a slice of the solid. The axis of rotation is about the x-axis with a radius of 4 starting at y equals 4 and ending with y equals negative 4.

For a solid such as the one in Example 1, where each cross-section is a cylindrical disk, we first find the volume of a typical cross-section (noting particularly how this volume depends on x), and then we integrate over the range of x-values through which we slice the solid in order to find the exact total volume. Often, we will be content with simply finding the integral that represents the sought volume; if we desire a numeric value for the integral, we typically use a calculator or computer algebra system to find that value.

The general principle we are using to find the volume of a solid of revolution generated by a single curve is often called the disk method.

Disk Method

If y = r(x) is a nonnegative continuous function on [a,b], then the volume of the solid of revolution generated by revolving the curve about the x-axis over this interval is given by

Example 2

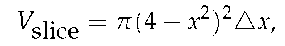
Find the volume of the solid formed by revolving the curve y = 1/x, from x = 1 to x = 2, about the y-axis.

Solution. Since the axis of rotation is vertical, we need to convert the function into a function of y and convert the x-bounds to y-bounds. Since y = 11x defines the curve, we rewrite it as x = 1/y. The bound x = 1 corresponds to the y-bound y = 1, and the bound x = 2 corresponds to the y-bound y = 1/2.

Thus we are rotating the curve x = 1/y, from y = 1/2 to y = 1 about the y-axis to form a solid. The curve and sample differential element are sketched in Figure 6.4-(a), with a full sketch of the solid in Figure 6.4-(b).

We integrate to find the volume:

A different type of solid can emerge when two curves are involved, as we see in the following example.

Figure 6.4: Sketching the solid in Example 2.

Two graphs with curves creating different types of solids.

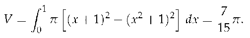
Example 3

Find the volume of the solid of revolution generated when the finite region R that lies between

and y = x + 2 is revolved about the

x-axis.

Figure 6.5: At left, the solid of revolution in Example 3. At right, a typical slice with inner radius r(x) and outer radius R(x).

Circular diagrams with lines inside.

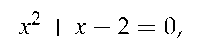
Solution. First, we must determine where the curves

and

y = x + 2 intersect. Substituting the expression for y from the second equation into the first equation, we find that

Rearranging,

it follows that

and the solutions to this equation are x = —2 and x = 1. The curves therefore cross at (—2,0) and (1,1).

When we take the region R that lies between the curves and revolve it about the x-axis, we get the three-dimensional solid pictured at left in Figure 6.5.

Immediately we see a major difference between the solid in this example and the one in Example 2: here, the three-dimensional solid of revolution isn't "solid" in the sense that it has open space in its center. If we slice the solid perpendicular to the axis of revolution, we observe that in this setting the resulting representative slice is not a solid disk, but rather a washer, as pictured at right in Figure 6.5. Moreover, at a given location x between x = —2 and x = 1, the small radius r(x) of the inner circle is determined by the curve y = x + 2, so r(x) = x + 2. Similarly, the big radius R( x) comes from the function

and

thus

Thus, to find the volume of a representative slice, we compute the volume of the outer disk and subtract the volume of the inner disk. Since

it follows that the volume of a typical slice is

Hence, using a definite integral to sum the volumes of the respective

slices across the integral, we find that

Evaluating the integral, the volume of the solid of revolution is V =

The general principle we are using to find the volume of a solid of revolution generated by a single curve is often called the washer method.

Washer Method

If y = R(x) and y = r(x) are nonnegative continuous functions on [a, b] that satisfy

for all x in [a, b], then the volume of the solid of revolution generated by revolving the region between them about the x-axis over this interval is given by

Activity 1-1

In each of the following questions, draw a careful, labeled sketch of the region described, as well as the resulting solid that results from revolving the region about the stated axis. In addition, draw a representative slice and state the volume of that slice, along with a definite integral whose value is the volume of the entire solid.

(a) The region S bounded by the x-axis, the curve

and the line

x = 4; revolve S about the x-axis.

(b) The region S bounded by the x-axis, the curve

and the line

y = 2; revolve S about the x-axis.

(c) The finite region S in the first quadrant bounded by the curves y =

and

revolve S about the x-axis.

(d) The finite region S bounded by the curves

and y =

revolve S about the x-axis.

(e) The region S bounded by the y-axis, the curve

and the line

y = 2; revolve S about the y-axis. How does the problem change considerably when we revolve about the y-axis?

Revolving about the y-axis

As seen in Activity1-1, problem (e), the problem changes considerably when we revolve a given region about the y-axis. Foremost, this is due to the fact that representative slices now have

thickness

which means that it becomes necessary to integrate with respect to y. Let's consider a particular example to demonstrate some of the key issues.

Example 4

Find the volume of the solid of revolution generated when the finite region R that lies between

and

is revolved about the

y-axis.

Figure 6.6: At left, the solid of revolution in Example 4. At right, a typical slice with inner radius r(y) and outer radius R(y).

A diagram of curves and radii.

Solution. We observe that these two curves intersect when x = 1, hence at the point (1,1). When we take the region R that lies between the curves and revolve it about the y-axis, we get the three-dimensional solid pictured at left in Figure 6.6.

Now, it is particularly important to note that the thickness of a representative slice is

and that the slices are only cylindrical washers in nature when taken perpendicular to the y-axis. Hence, we envision slicing the solid horizontally, starting at y = 0 and proceeding up to y = 1. Because the inner radius is governed by the curve

but from the

perspective that x is a function of y, we solve for x and get

In the same way, we need to view the curve

(which governs the

outer radius) in the form where x is a function of y, and hence

Therefore, we see that the volume of a typical slice is

Using a definite integral to sum the volume of all the representative slices from y = 0 to y = 1, the total volume is

It is straightforward to evaluate the integral and find that

Activity 1-2

In each of the following questions, draw a careful, labeled sketch of the region described, as well as the resulting solid that results from revolving the region about the stated axis. In addition, draw a representative slice and state the volume of that slice, along with a definite integral whose value is the volume of the entire solid.

(a) The region S bounded by the y-axis, the curve

and the line

y = 2; revolve S about the y-axis.

(b) The region S bounded by the x-axis, the curve

and the line

x = 4; revolve S about the y-axis.

(c) The finite region S in the first quadrant bounded by the curves y = 2x and

revolve S about the x-axis.

(d) The finite region S in the first quadrant bounded by the curves y = 2x and

revolve S about the y-axis.

(e) The finite region S bounded by the curves

and y =

x — 1; revolve S about the y-axis

Revolving about horizontal and vertical lines other than the coordinate axes

Just as we can revolve about one of the coordinate axes (y = 0 or x = 0), it is also possible to revolve around any horizontal or vertical line. Doing so essentially adjusts the radii of cylinders or washers involved by a constant value. A careful, well-labeled plot of the solid of revolution will usually reveal how the different axis of revolution affects the definite integral we set up. Again, an example is instructive.

Example 5

Find the volume of the solid of revolution generated when the finite region S that lies between

and y = x is revolved about the line

y = —1.

Figure 6.7: The solid of revolution described in Example 5.

A diagram of curves and radii.

Solution. Graphing the region between the two curves in the first quadrant between their points of intersection ((0, 0) and (1, 1)) and then revolving the region about the line y = — 1, we see the solid shown in Figure 6.7. Each slice of the solid perpendicular to the axis of revolution is a washer, and the radii of each washer are governed by the curves

and y = x. But we also see that there is one added change: the axis of revolution adds a fixed length to each radius. In particular, the inner radius of a typical slice, r(x), is given by

while the

outer radius is R(x) = x + 1. Therefore, the volume of a typical slice is

Finally, we integrate to find the total volume, and

Activity 1-3

In each of the following questions, draw a careful, labeled sketch of the region described, as well as the resulting solid that results from revolving the region about the stated axis. In addition, draw a representative slice and state the volume of that slice, along with a definite integral whose value is the volume of the entire solid. For each prompt, use the finite region S in the first quadrant bounded by the curves y = 2x and

(a) Revolve S about the line y = —2.

(b) Revolve S about the line y = 4.

(c) Revolve S about the line x = —1.

(d) Revolve S about the line x = 5.

Volumes of Other Solids

Given an arbitrary solid, we can approximate its volume by cutting it into n thin slices. When the slices are thin, each slice can be approximated well by a general right cylinder. Thus the volume of each slice is approximately its cross-sectional area x thickness. (These slices are the differential elements.)

By orienting a solid along the x-axis, we can let

repre-

sent the cross-sectional area of the ith slice, and let

represent

the thickness of this slice (the thickness is a small change in x). The total volume of the solid is approximately:

Recognize that this is a Riemann Sum. By taking a limit (as the thickness of the slices goes to 0) we can find the volume exactly.

Volume By Cross-Sectional Area

The volume V of a solid, oriented along the x-axis with cross-sectional area A(x) from x = a to x = b, is

Figure 6.8: Orienting a pyramid along the x-axis in Example 6.

A geometric pyramid.

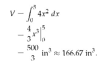
Example 6

Find the volume of a pyramid with a square base of side length 10 in and a height of 5 in.

Solution. There are many ways to "orient" the pyramid along the x-axis; Figure 6.8 gives one such way, with the pointed top of the pyramid at the origin and the x-axis going through the center of the base.

Each cross section of the pyramid is a square; this is a sample differential element. To determine its area A(x), we need to determine the side lengths of the square.

When x = 5, the square has side length 10; when x = 0, the square has side length 0. Since the edges of the pyramid are lines, it is easy to figure that each cross-sectional square has side length 2x, giving A(x) =

We have

We can check our work by consulting the general equation for the volume of a pyramid (see the back cover under "Volume of A General Cone"):

Certainly, using this formula from geometry is faster than our new method, but the calculus-based method can be applied to much more than just cones.

Summary

In this section, we encountered the following important ideas:

• We can use a definite integral to find the volume of a three-dimensional solid of revolution that results from revolving a two-dimensional region about a particular axis by taking slices perpendicular to the axis of revolution which will then be circular disks or washers.

• If we revolve about a vertical line and slice perpendicular to that line, then our slices are horizontal and of

thickness

This leads us to integrate with respect to y, as opposed to with respect to x when we slice a solid vertically.

• If we revolve about a line other than the x- or y-axis, we need to carefully account for the shift that occurs in the radius of a typical slice. Normally, this shift involves taking a sum or difference of the function along with the constant connected to the equation for the horizontal or vertical line; a well-labeled diagram is usually the best way to decide the new expression for the radius.

Exercises

Terms and Concepts

1) T/F: A solid of revolution is formed by revolving a shape around an axis.

2) In your own words, explain how the Disk and Washer Methods are related.

3) Explain the how the units of volume are found in the integral: if A(x) has units of in2, how does

have units of in3?

Problems

In Exercises 4-7, a region of the Cartesian plane is shaded. Use the Disk/Washer Method to find the volume of the solid of revolution formed by revolving the region about the x-axis.

In Exercises 8-11, a region of the Cartesian plane is shaded. Use the Disk/Washer Method to find the volume of the solid of revolution formed by revolving the region about the y-axis.

A graph with a shaded region.

A graph with a shaded region.

A graph with a shaded region.

A graph with a shaded region.

A graph with a shaded region.

A graph with a shaded region.

A graph with a shaded region.

A graph with a shaded region.

(Hint: Integration By Parts will be necessary, twice.

First let

then let u = arccos x.)

In Exercises 12-17, a region of the Cartesian plane is described. Use the Disk/Washer Method to find the volume of the solid of revolution formed by rotating the region about each of the given axes.

12) Region bounded by:

y = 0 and x = 1.

Rotate about:

(a) the x-axis

(b) y = 1

(c) the y-axis

(d) x = 1

13) Region bounded by:

and y = 0.

Rotate about:

(a) the x-axis

(b) y = 4

(c) y = —1

(d) x = 2

14) The triangle with vertices (1,1), (1,2) and (2,1). Rotate about:

(a) the x-axis

(b) y = 2

(c) the y-axis

(d) x = 1

15) Region bounded by

and y = 2x — 1.

Rotate about:

(a) the x-axis

(b) y = 1

(c) y = 5

16) Region bounded by

x = —1, x = 1

and the x-axis. Rotate about:

(a) the x-axis

(b) y = 1

(c) y = —1

17) Region bounded by y = 2x, y = x and x = 2. Rotate about:

(a) the x-axis

(b) y = 4

(c) the y-axis

(d) x = 2

In Exercises 18-21, a solid is described. Orient the solid along the x-axis such that a cross-sectional area function A(x) can be obtained, then find the volume of the solid.

18) A right circular cone with height of 10 and base radius of 5.

19) A skew right circular cone with height of 10 and base radius of 5. (Hint: all cross-sections are circles.)

20) A right triangular cone with height of 10 and whose base is a right, isosceles triangle with side length 4.

21) A solid with length 10 with a rectangular base and triangular top, wherein one end is a square with side length 5 and the other end is a triangle with base and height of 5.

Annotate

Next Chapter
2. Volume by The Shell Method
PreviousNext
Powered by Manifold Scholarship. Learn more at
Opens in new tab or windowmanifoldapp.org