Skip to main content

Armstrong Calculus: 3. Arc Length and Surface Area

Armstrong Calculus
3. Arc Length and Surface Area
  • Show the following:

    Annotations
    Resources
  • Adjust appearance:

    Font
    Font style
    Color Scheme
    Light
    Dark
    Annotation contrast
    Low
    High
    Margins
  • Search within:
    • Notifications
    • Privacy
  • Project HomeArmstrong Calculus
  • Projects
  • Learn more about Manifold

Notes

table of contents
    1. Preface
    2. Acknowledgments
  1. 1. Using Definite Integrals to Find Volume
    1. Motivating Questions
    2. Introduction
    3. Preview Activity 1
    4. The Volume of a Solid of Revolution
    5. Disk Method
    6. Washer Method
    7. Activity 1-1
    8. Activity 1-2
    9. Activity 1-3
    10. Volumes of Other Solids
    11. Volume By Cross-Sectional Area
    12. Summary
    13. Exercises
    14. Problems
  2. 2. Volume by The Shell Method
    1. Motivating Questions
    2. Introduction
    3. Preview Activity 2
    4. The Shell Method
    5. Activity 2-1
    6. Activity 2-2
    7. Summary
    8. Exercises
    9. Problems
  3. 3. Arc Length and Surface Area
    1. Motivating Questions
    2. Introduction
    3. Preview Activity 3
    4. Finding the length of a curve
    5. Arc Length
    6. Activity 3-1
    7. Surface Area of Solids of Revolution
    8. Surface Area of a Solid of Revolution
    9. Summary
    10. Exercises
    11. Problems
  4. 4. Density, Mass, and Center of Mass
    1. Motivating Questions
    2. Preview Activity 4
    3. Density
    4. Density, Mass, & Volume
    5. Mass
    6. Activity 4-1
    7. Activity 4-2
    8. Center of Mass
    9. Activity 4-3
    10. Summary
    11. Exercises
    12. Problems
  5. 5. Physics Applications: Work, Force, and Pressure
    1. Motivating Questions
    2. Introduction
    3. Preview Activity 5
    4. Work
    5. Activity 5-1
    6. Activity 5-2
    7. Activity 5-3
    8. Summary
    9. Exercises
    10. Problems
  6. 6. An Introduction to Differential Equations
    1. Motivating Questions
    2. Introduction
    3. Preview Activity 6
    4. Activity 6-1
    5. Activity 6-2
    6. Activity 6-3
    7. Slope Fields
    8. Activity 6-4
    9. Equilibrium solutions and stability
    10. Activity 6-5
    11. Summary
    12. Exercises
  7. 7. Separable differential equations
    1. Motivating Questions
    2. Introduction
    3. Preview Activity 7
    4. Activity 7-1
    5. Activity 7-2
    6. Activity 7-3
    7. Developing a differential equation
    8. Activity 7-4
    9. Activity 7-5
    10. Activity 7-6
    11. Population Growth
    12. Activity 7-7
    13. Activity 7-8
    14. Summary
    15. Exercises
  8. 8. Hyperbolic Functions
    1. Motivating Questions
    2. Introduction
    3. Hyperbolic Functions
    4. Activity 8-1
    5. Useful Hyperbolic Function Properties
    6. Activity 8-2
    7. Inverse Hyperbolic Functions
    8. Logarithmic definitions of Inverse
    9. Derivatives Involving Inverse Hyperbolic Functions
    10. Activity 8-3
    11. Exercises

3. Arc Length and Surface Area

Motivating Questions

In this section, we strive to understand the ideas generated by the following important questions:

• How can a definite integral be used to measure the length of a curve?

• How can a definite integral be used to measure the surface area of a solid of revolution?

Introduction

Early on in our work with the definite integral, we learned that if we have a nonnegative velocity function, v, for an object moving along an axis, the area under the velocity function between a and b tells us the distance the object traveled on that time interval. Moreover, based on the definition of the definite integral, that area is given precisely by

Indeed, for any non-

negative function f on an interval [a, b], we know that

measures the area bounded by the curve and the x-axis between x = a and x = b, as shown in Figure 6.19.

Through our upcoming work in the present section and chapter, we will explore how definite integrals can be used to represent a variety of different physically important properties. In Preview Activity 1, we begin this investigation by seeing how a single definite integral may be used to represent the area between two curves.

Figure 6.19: The area between a nonnegative function f and the x-axis on the interval [a, b].

A graph with a shaded region.

Preview Activity 3

In the following, we consider the function f( x) = 1 — x2 over the interval [-1,1]. Our goal is to estimate the length of the curve.

(a) Graph f (x) over the interval [-1,1]. Label the points on the curve that correspond to x = — 1,

,0,1/2, and 1.

(b) Draw the secant line connecting the points ( -1, f ( -1) and

Use the distance formula to find the length of the

secant line from x = — 1 to x =

(c) Repeat drawing a secant line between the remaining points starting

with

and (0, f(0)). For each line segment , use the

distance formula to find the length of the segment.

(d) Add the distances together to get an approximation to the length of the curve.

(e) How can we improve our approximation? Write a Riemann sum that will give an improvement to our approximation.

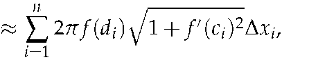
Finding the length of a curve

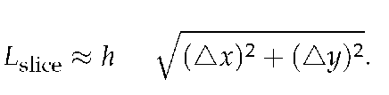
In addition to being able to use definite integrals to find the volumes of solids of revolution, we can also use the definite integral to find the length of a portion of a curve. We use the same fundamental principle: we take a curve whose length we cannot easily find, and slice it up into small pieces whose lengths we can easily approximate. In particular, we take a given curve and subdivide it into small approximating line segments, as shown at left in Figure 6.20.

Figure 6.20: At left, a continuous function y = f(x) whose length we seek on the interval a = Xo to b = X3. At right, a close up view of a portion of the curve.

Two graphs with two curves each.

To see how we find such a definite integral that measures arc length on the curve y = f(x) from x = a to x = b, we think

about the portion of length,

that lies along the curve on

a small interval of length

and estimate the value of

using a well-chosen triangle. In particular, if we consider the right triangle with legs parallel to the coordinate axes and hypotenuse connecting two points on the curve, as seen at right in Figure 6.20, we see that the length, h, of the hypotenuse approx-

imates the length,

of the curve between the two selected

points. Thus,

By algebraically rearranging the expression for the length of the hypotenuse, we see how a definite integral can be used to compute the length of a curve. In particular, observe that by remov-

ing a factor of

we find that

Furthermore, as

and

it follows that

Thus, we can say that

Taking a Riemann sum of all of these slices and letting

we arrive at the following fact.

Arc Length

Given a differentiable function f on an interval [a, b], the total arc length, L, along the curve y = f (x) from x = a to x = b is given by

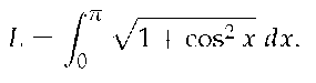
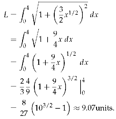
Example 1

Find the arc length of f (x) =

from x = 0 to x = 4.

Solution. We begin by finding

Using the formula, we

find the arc length L as

A graph of f is given in Figure 6.21.

A graph with a curve.

Figure 6.21: A graph of f (x) =

from Exam-

ple 1.

Example 2

Find the arc length of f( x) =

from x = 1 to x = 2.

Solution. This function was chosen specifically because the resulting

integral can be evaluated exactly. We begin by finding

The arc length is

A graph of f is given in Figure 6.22; the portion of the curve measured in this problem is in bold.

A graph with a curve.

Figure 6.22: A graph of f (x) =

from

Example 2.

Example 3

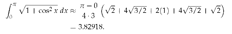
Find the length of the sine curve from x = 0 to x =

Solution. This is somewhat of a mathematical curiosity; in Activity 4.51 (b) we found the area under one "hump" of the sine curve is 2 square units; now we are measuring its arc length.

The setup is straightforward: f( x) = sin x and

Thus

This integral cannot be evaluated in terms of elementary functions so we will approximate it with Simpson's Method with n = 4.

Table 6.1: A table of values of

to

evaluate a definite integral in Example 3.

Table 6.1 gives

evaluated at 5 evenly spaced points in

Simpson's Rule then states that

Using a computer with n = 100 the approximation is

our

approximation with n = 4 is quite good.

Activity 3-1

Each of the following questions somehow involves the arc length along a curve.

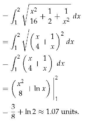
(a) Use the definition and appropriate computational technology to determine the arc length along y = x2 from x = — 1 to x = 1.

(b) Find the arc length of

on the interval

Find

this value in two different ways: (a) by using a definite integral, and (b) by using a familiar property of the curve.

(c) Determine the arc length of y = xe3x on the interval [0,1].

(d) Will the integrals that arise calculating arc length typically be ones that we can evaluate exactly using the First FTC, or ones that we need to approximate? Why?

(e) A moving particle is traveling along the curve given by y = f( x) = 0.1x2 + 1, and does so at a constant rate of 7 cm/sec, where both x and y are measured in cm (that is, the curve y = f( x) is the path along which the object actually travels; the curve is not a "position function"). Find the position of the particle when t = 4 sec, assuming that when t = 0, the particle's location is (0, f (0)).

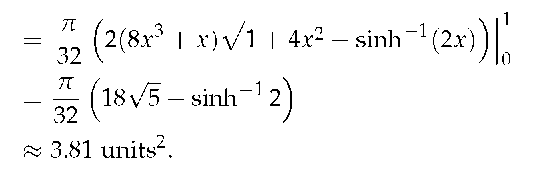
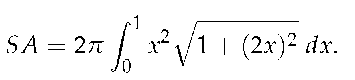
Surface Area of Solids of Revolution

Figure 6.23: Establishing the formula for surface area.

A graph with a curve. Another graph with a cylindrical region.

We have already seen how a curve y = f (x) on [a, b] can be revolved around an axis to form a solid. Instead of computing its volume, we now consider its surface area.

We begin as we have in the previous sections: we partition the interval [ a, b] with n subintervals, where the i th subinterval ]. On each subinterval, we can approximate the curve y = f (x) with a straight line that connects f (xi) and f (xi+i) as shown in Figure 6.23 (a). Revolving this line segment about the x-axis creates part of a cone (called the frustum of a cone) as shown in Figure 6.23 (b). The surface area of a frustum of a cone is

length • average of the two radii R and r.

The length is given by L; we use the material just covered by arc length to state that

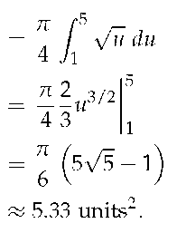
for some ci in the ith subinterval. The radii are just the function evaluated at the endpoints of the interval. That is,

Thus the surface area of this sample frustum of the cone is approximately

Since f is a continuous function, the Intermediate Value The-

orem states there is some di in [

such that

we can use this to rewrite the above

equation as

Summing over all the subintervals we get the total surface area to be approximately

Surface Area

which is a Riemann Sum. Taking the limit as the subinterval lengths go to zero gives us the exact surface area, given in the following Key Idea.

Surface Area of a Solid of Revolution

Let f be differentiable on an open interval containing [a, b]

where

is also continuous on [a, b].

1 ) The surface area of the solid formed by revolving the

graph of y = f (x), where f (x)

about the x-axis is

Surface Area =

2) The surface area of the solid formed by revolving the

graph of y = f( x) about the y-axis, where a, b

is

Surface Area =

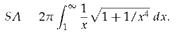
Example 4

Figure 6.24: Revolving y = sin x on

about the

x-axis.

When revolving y = f (x) about the y-axis, the radii

of the resulting frustum are xi and

their aver-

age value is simply the midpoint of the interval. In the limit, this midpoint is just x.

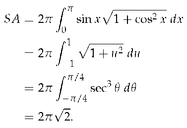
Find the surface area of the solid formed by revolving y = sin x on

around the x-axis, as shown in Figure 6. 24.

Solution. The setup is relatively straightforward; we have the surface

area SA is:

The integration above is nontrivial, utilizing Substitution, Trigonometric Substitution, and Integration by Parts.

A graph with a shaded region.

Example 5

Figure 6.25: The solids used in Example 5

(a)

A graph with a shaded region.

(b)

A graph with a shaded region.

Find the surface area of the solid formed by revolving the curve y = x2 on [0, 1] about:

1) the x-axis

2) the y-axis.

Solution.

1) The integral is straightforward to setup:

Like the integral in Example 4, this requires Trigonometric Substitution.

The solid formed by revolving y = x2 around the x-axis is graphed in Figure 6.25-(a).

2) Since we are revolving around the y-axis, the "radius" of the solid is not f( x) but rather x. Thus the integral to compute the surface area is:

This integral can be solved using substitution. Set u = 1 + 4x2; the new bounds are u = 1 to u = 5. We then have

The solid formed by revolving y = x2 about the y-axis is graphed in Figure 6.25-(b).

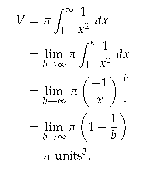
This last example is a famous mathematical "paradox." Example 6

Consider the solid formed by revolving y = 1/x about the x-axis on

Find the volume and surface area of this solid. (This shape, as graphed in Figure 6.26, is known as "Gabriel's Horn" since it looks like a very long horn that only a supernatural person, such as an angel, could play.)

Figure 6.26: A graph of Gabriel's Horn.

A graph with a shaded region.

Solution. To compute the volume it is natural to use the Disk Method. We have:

Gabriel's Horn has a finite volume of

cubic units. Since we have al-

ready seen that objects with infinite length can have a finite area, this is not too difficult to accept.

We now consider its surface area. The integral is straightforward to setup:

Integrating this expression is not trivial. We can, however, compare it to

other improper integrals. Since 1

on

we can state

that

The improper integral on the left diverges. Since the integral on the right is larger, we conclude it also diverges, meaning Gabriel's Horn has infinite surface area.

Hence the "paradox": we can fill Gabriel's Horn with a finite amount of paint, but since it has infinite surface area, we can never paint it.

Somehow this paradox is striking when we think about it in terms of volume and area. However, we have seen a similar paradox before, as

referenced above. We know that the area under the curve

on

is finite, yet the shape has an infinite perimeter. Strange things can

occur when we deal with the infinite.

Summary

In this section, we encountered the following important ideas:

• To find the area between two curves, we think about slicing the region into thin rectangles. If, for instance,

the area of a typical rectangle on the interval x = a to x = b is given by

then

the exact area of the region is given by the definite integral

• The shape of the region usually dictates whether we should use vertical rectangles of thickness

or

horizontal rectangles of thickness

We desire to have the height of the rectangle governed by the

difference between two curves: if those curves are best thought of as functions of y, we use horizontal rectangles, whereas if those curves are best viewed as functions of x, we use vertical rectangles.

• The arc length, L, along the curve y = f (x) from x = a to x = b is given by

Exercises

Terms and Concepts

1) T/F: The integral formula for computing Arc Length was found by first approximating arc length with straight line segments.

2) T/F: The integral formula for computing Arc Length includes a square-root, meaning the integration is probably easy.

Problems

In Exercises 3-11, find the arc length of the function on the given integral.

3) f (x) = x on [0,1]

In Exercises 12-19, set up the integral to compute the arc length of the function on the given interval. Try to compute the integral by hand, and use a CAS to compute the integral. Also, use Simpson's Rule with n = 4 to approximate the arc length.

12) f (x) = x2 on [0,1].

13) f (x) = x10 on [0,1]

14) f(x) =

on [0,1]

15) f( x) = ln x on [ 1, e]

16) f(x) =

on [ — 1, 1 ]. (Note: this describes the

top half of a circle with radius 1.)

17) f(x) =

on [—3,3]. (Note: this describes

the top half of an ellipse with a major axis of length 6 and a minor axis of length 2.)

18) f(x) =

on [1, 2]

19) f( x) = sec x on

In Exercises 20-24, find the surface area of the described solid of revolution.

20) The solid formed by revolving y = 2x on [0,1] about the x-axis.

21) The solid formed by revolving y = x2 on [0,1] about the y-axis.

22) The solid formed by revolving y = x3 on [0,1] about the x-axis.

23) The solid formed by revolving y =

on [ 0, 1 ] about

the x-axis.

24) The sphere formed by revolving y =

on

[—1,1] about the x-axis.

Annotate

Next Chapter
4. Density, Mass, and Center of Mass
PreviousNext
Powered by Manifold Scholarship. Learn more at
Opens in new tab or windowmanifoldapp.org